Banco BRB

30 de Abril de 2009 às 17:32

Sindicato busca interlocução com diretoria do BRB para garantir novo PCS em maio

Compartilhe

O Sindicato busca ainda para a próxima semana uma reunião com a direção do BRB, especialmente com seu presidente, Ricardo Vieira, para reiterar a sua reivindicação que visa a implantação do PCS (Plano de Cargos e Salários) no mês de maio. Hoje não há empecilho para a implantação do benefício, pois ele já foi aprovado em todas as instâncias necessárias - diretoria colegiada, Conselho de Administração e GDF.

Ricardo Vieira aponta como dificultador para a implantação o fato de os programas PPR (Programa de Participação nos Resultados) e PLR (Programa de Participação nos Lucros) deste semestre estarem em curso, pois as alterações no PCS implicam modificações também nesses programas. Além disso, essas alterações vigorarão somente a partir de julho, e isto acarretaria uma despesa extra para o banco de aproximadamente R$ 4,5 milhões.

Diante disso, o Sindicato ponderou que o BRB tem todas as condições de absorver este pequeníssimo impacto, pois, relativamente a despesas com pessoal em 2008, o banco deixou de realizar as referidas despesas: a reversão de 25% do valor provisionado – em torno de R$ 6 milhões (aproximadamente R$ 26 milhões foram provisionados), para o pagamento do PPR de 2008, pois tanto no primeiro quanto no segundo semestres, a premiação paga alcançou 75% do valor previsto; e a correção das tabelas salariais nos percentuais de 8,5% e 10%, fruto do acordo coletivo, que não foram aplicadas às tabelas do PPR a partir de setembro de 2008, o que deveria ser o procedimento correto, gerando também uma “economia” para o banco, que faz facilmente face a esta despesa ora argumentada por Vieira.

“O Sindicato espera que a direção do BRB demonstre sensibilidade e acene com esta medida justa e merecida pelos funcionários, submetidos a uma estressante busca por metas e uma longa angústia pela indefinição com relação ao futuro do banco”, diz André Nepomuceno, secretário-geral do Sindicato e funcionário do BRB.

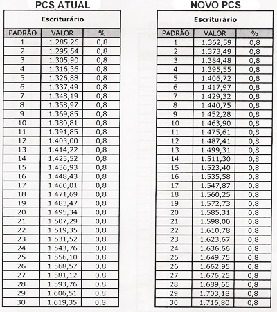
Abaixo seguem as tabelas dos VPs e das funções comissionadas. Já na próxima semana o Sindicato divulgará informativo com detalhamento das negociações, bem como mais informações sobre o novo PCS. Algumas funções podem sofrer ligeiros ajustes para mais, em função de pequenas diferenças de cálculo detectadas após a confecção da tabela.

tabela_01.jpg 

 

 

 

 

 

 

 

 

 

 

 

 

 

tabela_02.jpg

Tags

Banco BRB
Acessar o site da CONTRAF
Acessar o site da FETECCN
Acessar o site da CUT

Política de Privacidade

Copyright © 2025 Bancários-DF. Todos os direitos reservados

BancáriosDF

Respondemos no horário comercial.

Olá! 👋 Como os BancáriosDF pode ajudar hoje?
Iniciar conversa